三级色情
国务院
省政府
市政府
移动版
闽政通APP
你好,
注销
登录
注册
网站支持IPV6
三级色情
三级色情公开
解读回应
办事服务
互动交流
专题专栏
政府信息公开
政策法规
安全生产
人事信息
规划计划
预决算公开
统计信息
财政收支
收费标准
政府采购
监督检查
行政许可
政策解读
12345便民服务平台
在线访谈
民意征集
网上调查
搜一下
历史搜索:
热门搜索:
长者模式
退出长者模式
无障碍浏览
当前位置:
三级色情
三级色情公开
规划计划
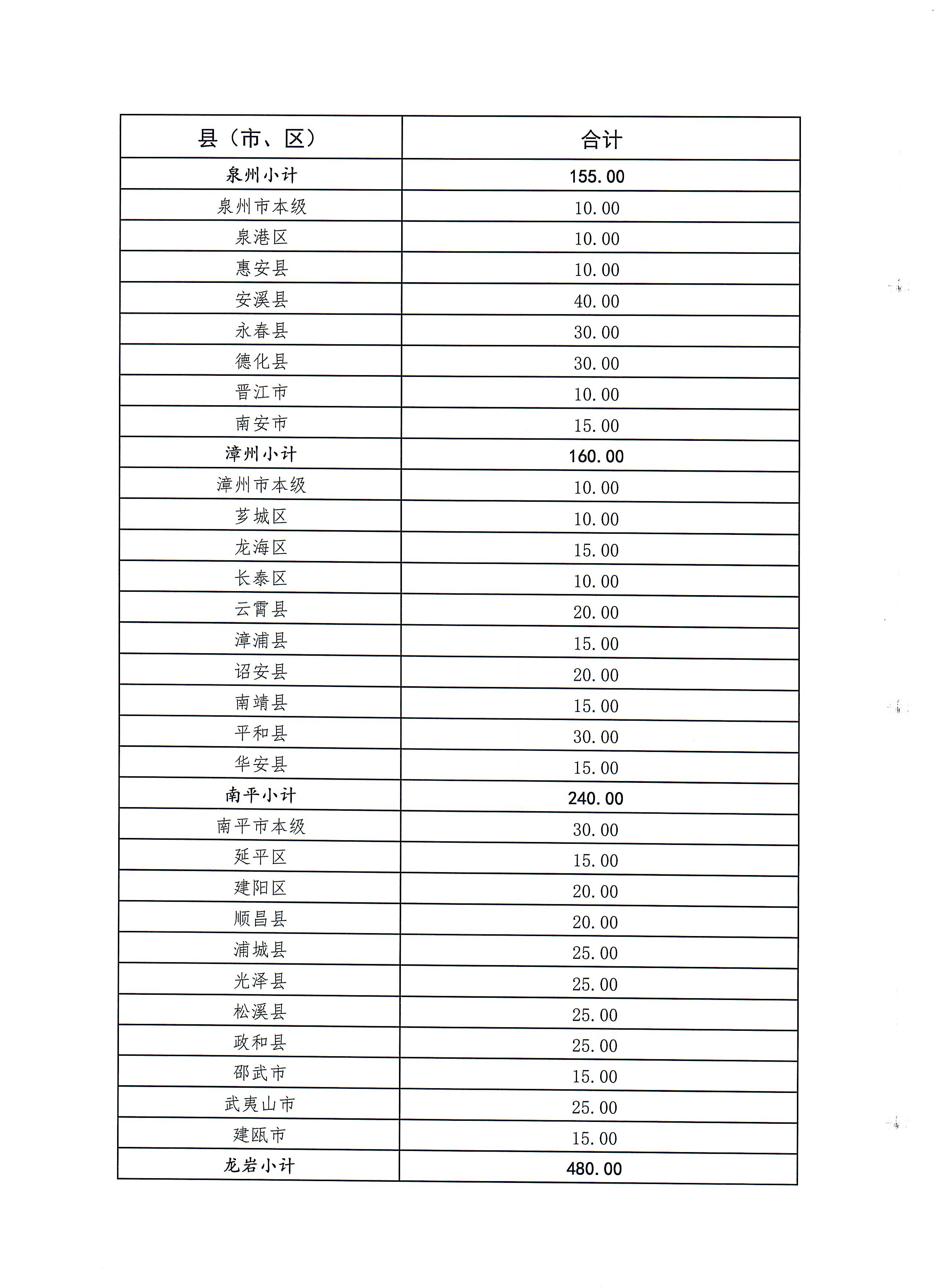
关于提前下达2024年中央财政衔接推进老区乡村振兴补助资金的通知
时间:2023-12-13 11:26
微信
微博
QQ空间
来源:民政局
附件下载
扫一扫在手机上查看当前页面
关闭
相关解读